SMV is 60% heritable
~62% in men, ~59% in women. Possibly 70% when you factor in the increased heritability/reliability of a composite variable.
Glossary
rMZ → correlation between identical twins
rDZ → correlation between fraternal twins
heritability → proportion of variation in a phenotype that is associated with genetics. can be estimated roughly using the formula 2 * (rMZ - rDZ).
I.
“Sexual-marketplace value” is defined as an individual’s value to mates of the opposite sex. These preferences can fluctuate depending on whether the desire is short-term or long-term (Li, 2007), with attractiveness being more important in short term relationships for both men and women. People disagree on whether certain characteristics matter more than others (see: height vs face debates), but people agree on directionality — it’s always better to be attractive and happy. By gender, the online consensus seems to be:
Men: height, body fat, facial attractiveness, finances, social status, age (not too old or too young), personality factors, health.
Women: body fat, facial attractiveness, age (young), personality factors, health.
The heritability of sexual market place value depends on how heritable each of these subtraits are. To calculate the heritability of each trait, I will be using the falconer formula associated with classical twin studies. I will refer to Kirkegaard and Dalliard for a good defense of this method.
Height
Using the falconer formula and data from over 100000 twin pairs (Polderman, 2015) the heritability of height in adults is roughly 90%.
Body fat
Using the same formula and the data from the table, the heritability of weight maintenance is roughly 84%. Other studies estimate the heritability of BMI is roughly 40-70% (Li and Qi, 2019). Based on this, 70% seems to be a good estimate.
Facial attractiveness
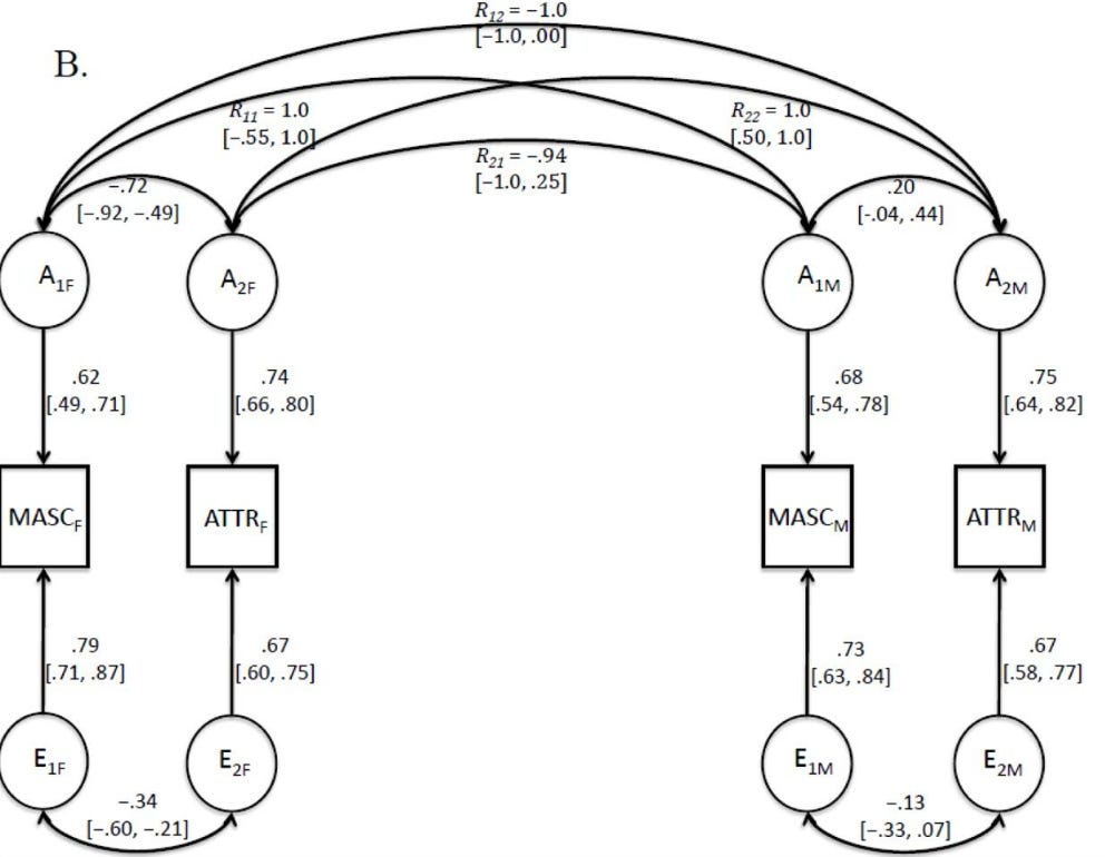
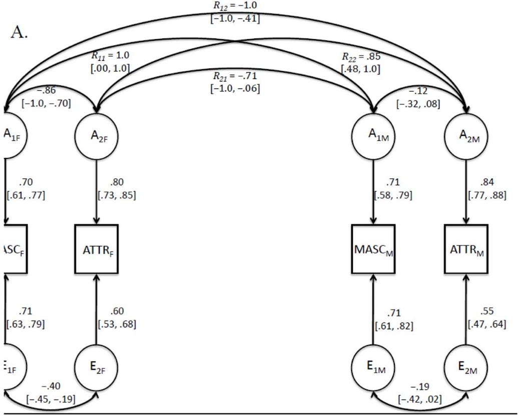
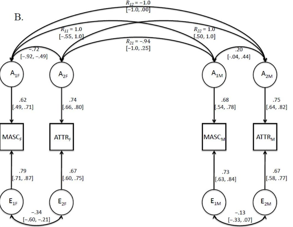
The heritability estimate of facial attractiveness is surprisingly low. One study (Mitchem et al., 2014) rated facial attractiveness using one photograph which was rated by 8 different judges. They computed two different models for attractiveness: one where they controlled for acne, smiling, and grooming and another where they didn’t. Surprisingly enough, the heritability was higher when they didn’t apply those controls, implying that the variables they controlled for are also associated with genetics.
Before controls: (A → heritability, ATTR→attractiveness)
After controls: (A → heritability, ATTR→attractiveness)
The first model suggests a heritability of 67%, which rises to 77% after you control for the reliability of the judges ratings (alpha = .87). There are several ways you can interpret this: that twin studies are unable to capture the true heritability of facial attractiveness or that variation in the environment can contribute significantly to attractiveness. Personally, I subscribe to the former theory, given how similar identical twins look, so I will be running with a heritability estimate of 90%.
The Veronicas:
Dylan and Cole Sprouse
Income
A meta-analysis of the heritability of income estimates that the heritability of income is about 50% (Hyytinen et al., 2019). There is also a small shared environmental component of 10%, which is probably due to wealthy parents making it easier for their children to earn money by financially supporting them.
Social status
It is difficult to measure social status directly, so it is best to infer what the heritability of it is from measurements that correlate with it. The heritability of educational attainment is 47% in men, and 38% in women (Silventoinen, 2020). The impact of shared environment is 26% in men, and 36% in women.
The heritability of occupational status in men is roughly 40-60% (Lichtenstein et al., 1995) (Tambs et al., 1989).
All of these seem to converge to a heritability of roughly 50%.
Age
0 by definition.
Personality factors
People disagree on whether personality factors matter, and even within those who think they matter, people disagree on which characteristics are attractive. I personally subscribe to the Aristotelian view of personality, which is that personality characteristics closer to the mean are more desirable. Regardless, the heritability of personality is about 86% (Rieman and Kandler, 2010), with the exception of neuroticism which is about ~50-60% heritable.
Lower quality studies that only use self-reports tend to yield lower estimates, but when estimates from peers and individuals are combined into a latent factor, this latent factor of personality is highly heritable.
The mean heritability of the big 5 traits is 80.6%, rising to 86% if neuroticism is not accounted for. I assume the relatively low heritability of neuroticism is due to recreational drugs, prescription drugs, or social factors, though it is unclear which of these contribute the most to the low heritability.
Health
The heritabilities of health variables in adulthood are:
Blood pressure function: 60%
Endocrine gland function: 32%
Metabolic function: 92% (vastly overestimated due to low correlation between fraternal twins, true value judged to be 60%).
Heart function: 56%
Immune system function: 52%
Weight maintenance: 84% (also overestimated due to low correlation between fraternal twins, true value judged to be 70%).
On average, the heritabilities of these health variables are 55%.
To summarize, these are the best heritability estimates for each trait:
Height: 90% heritable.
Facial attractiveness: 77% heritable (twin study), 90% heritable (subjective judgement).
Body fat: 70% heritable.
Income: 50% heritable.
Social status: 50% heritable.
Age: 0% heritable.
Personality: 80% heritable.
Health: 55% heritable.
Averaging the values of the heritability estimates for men yields a heritability of 62% for SMV, and 59% for women. The discussion of genetics in dating is often used to argue that it is difficult for individuals to optimize their value as a partner — I would consider these results to vindicate this judgement. It is true that 40% of variation in SMV is left unexplained, but most of this is due to age not being heritable and there being a luck factor in social status and health.
From a common sense standpoint, if you don’t have a significant height or physical appearance impairment, it should still be possible to maximize your physique and social status to increase your SMV. However, this ignores that your ability to maximize these traits is also constrained by genetics and even luck.










A counter-theory: SMV might be biased towards bone, metabolism, and facial metrics in the short term, and GFP + g-factor (turning to some kind of SES factor) for the long run. Very tempted to bet heritability rates are 65%~70% and 80% perceptively.
see John Archer's study on male female differences. Under mate preferences (I think these are for LTR's) the male female differences, measured by Cohen's d, are:
Male preference: good cook/housekeeper, good looks, chastity
Female preference: age, financial prospects, ambitiousness/industriousness, social status/dominance
These are relative preferences (male:female) so this doesn't mean chicks all dig old dudes. Just means men lean strongly towards youth, females are open to significant age difference.
http://clok.uclan.ac.uk/26186/6/26186%20Archer_final_queries%2520BR%2520paper.pdf